
Composição Farmacêutica Baseada em Compostos 1,3,4-oxadiazólicos e Seu Uso na Preparação de Medicamentos para Tratamento de Infecções Sistêmicas
Patente de invenção
Pedido depositado
BR 10 2018 009020-8
03/05/2018
Sim
UEM / UnB / UNEMAT
Érika Seki Kioshima Cotica, Terezinha Inez Estivalet Svidzinski, Patrícia de Souza Bonfim de Mendonça, Isis Regina Grenier Capoci, Daniella Renata Faria, Karina Mayumi Sakita, Fabricio Morelli, Franciele Abigail Vilugron Rodrigues, Maria Sueli Soares Felipe, Claudia Patricia Bravo Chaucanés, Ana Karina Rodrigues Abadio, Bernard Maigret
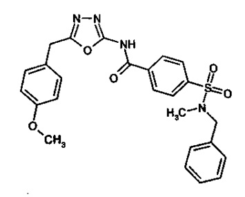
A presente invenção se se refere a dois compostos que serão utilizandos no preparo de medicamentos para combate à infeções causadas por fungos. Os medicamentos compreendem dois compostos da familia química dos 1,3,4-oxidiazólicos: 4-(N-benzil-N-metilsulfamoil)-N-(5-(4-metoxibenzil)-1,3,4-oxadiazol-2-il)benzamida ou 4-(N-ciclohexil-N-etilsulfamoil)-N-(5-(furano-2-il)-1,3,4-oxadiazol-2-il)benzamida.
Os dois compostos serão utilizados na formulação de um medicamento, aditivo, agente ou formulação para o tratamento de infecções fúngicas sistêmicas, como a Candidíase, Criptococose e Paracoccidioidomicose.
Os compostos apresentaram atividade contra as células dos fungos importantes causadores de infecções hospitalares, inclusive contra algumas espécies que são resistentes aos antifúngicos convencionais. A atividade foi observada inclusive no modelo de infecção in vivo com camundongos. Estes compostos atuam de maneira específica contra o fungo, não apresentando citotoxicidade ou toxicidade in vivo. Apresentam potente atividade contra o fungo aliado a baixa toxicidade.


